一面震荡盘整,或不急不缓的向上、向下,一面又急转直下。随着近期个股“闪崩”的现象愈演越烈,闪崩股再次成为市场关注的焦点。据《红周刊》记者分析,近期闪崩股的频现或与限售股解禁迎来“小高峰”有关。其中,市值较小、前期股价上涨的绩差股成了这波闪崩潮的主力。
一面震荡盘整,或不急不缓的向上、向下,一面又急转直下。随着近期个股“闪崩”的现象愈演越烈,闪崩股再次成为市场关注的焦点。据《红周刊》记者分析,近期闪崩股的频现或与限售股解禁迎来“小高峰”有关。其中,市值较小、前期股价上涨的绩差股成了这波闪崩潮的主力。
除此之外,其它有关事件如“猪饿死了”、“现金飞了”、“扇贝跑了”等等,也是驱动部分个股“闪崩”的重要原因。而整体来看,这皆与涉事公司的基本面有关。
52股待解禁股份占比超40%
数据显示,11月21日至今年年底,有184只个股的限售股尚待解禁。从解禁规模来看,自进入10月份,限售股解禁迎来“小高峰”(见图1)。其中,9月开始流通市值为2512.56亿元,10月份为3112.44亿元。
图1 限售股解禁后开始流通市值(万元)

图片来源:Wind资讯
具体到个股,据《红周刊》记者分析发现,短期来看,对比大小非解禁(以总股本5%为界限),大非对市场造成的冲击更大一些。
数据显示,10月以来至11月19日,部分限售股已解禁的个股共有234只(已剔除今年以来上市的次新股,下同),其中属于大非和小非的分别有96只和138只。而在同一统计区间内,大非和小非解禁的个股平均涨幅分别为-0.46%和3.75%。
以化学制剂行业中的两家公司为例,德展健康(行情000813,诊股)于11月17日晚间推出的《关于限售股份解除限售的提示性公告》称,本次解除限售股可上市流通数量为9.33亿股,占公司总股本的41.64%,并将本次解除限售股份可上市流通日定为11月19日。
11月18日开盘,德展健康的股价便低开低走,最终以跌停结束了当日的交易。至11月19日,公司股价延续了颓势,低开后最终收跌2.06%。而同属化学制剂行业的东诚药业(行情002675,诊股),于10月29日晚间也推出了相似的公告(本次申请解除限售的限售股份总数为0.27亿股,占公司总股本的3.33%,并将本次解除限售股份可上市流通日定为11月1日)。10月30日开盘,东诚药业股价也出现了下跌,但下跌仅为4.58%,至11月1日更是收涨0.22%。
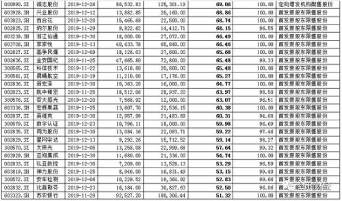
与此同时,据记者统计,今年年底之前限售股尚待解禁的个股中,有116只个股的待解禁股份数量占公司总股本的比例在5%及其以上,更有52只个股的占比超过了40%(见表1)。其中,森特股份(行情603098,诊股)的待解禁股份数量占公司总股本的比例最高为84.37 %。
表1 部分年末之前限售股解禁的公司一览


而且整体来看,截至11月19日,沪深两市中有953只个股的限售A股占总股本的比例在40%及其以上,其中39只个股的占比更是在90%及其以上(见表2)。
表2 部分限售股占总股本比例居前的公司

数据来源:Wind资讯;
注:已剔除今年以来上市的次新股
市值小、前期股价上涨的绩差股闪崩概率较大
当然,除了限售股大小非解禁的因素,其它有关事件如“猪饿死了”、“现金飞了”、“扇贝跑了”等,也是驱动部分个股股价闪崩的重要原因。而整体来看,这皆与涉事公司的基本面有关。
据记者分析,在基本面逐渐成为主流选股条件之一的当下,绩差股尤其是具备市值较小、前期股价上涨两种属性的个股,闪崩的概率相对较大。10月以来至11月19日的数据显示,股价跌幅在20%及其以上的个股共有69只,其中有13只个股的净利润在三季度实现了同比正增长,占比仅为18.84%。
首先,从市值角度看,这69只个股的总市值均在400亿元以下,其中仅有白云机场(行情600004,诊股)、天风证券(行情601162,诊股)、大智慧(行情601519,诊股)、新洋丰(行情000902,诊股)四只个股的总市值超过100亿元;
其次,从股价角度看,年初至9月底,这些个股中有41只股价出现了上涨,占比近六成,其中南华仪器(行情300417,诊股)、科力尔(行情002892,诊股)、大智慧、派思股份(行情603318,诊股)、新日股份(行情603787,诊股)等7只个股的股价均翻了一倍以上。
据此,记者统计了三季度净利润增速下滑、市值较小、前期股价上涨的个股(见表3)。
表3 部分三季度净利润增速下滑、市值较小、前期股价上涨的个股


数据来源:Wind资讯;注:已剔除股价“闪崩”的个股
本文内容仅代表作者观点,不代表本站立场,如若转载,请注明出处:https://www.fx220.com/redian/guzhi/35736.html
