行情回顾,上周黄金镑美欧美三系产品都处于上涨阶段。从周一到周五的布局大家有时间真的可以一一的去核对盈利收益,我可以说1万本金开仓一手交易一周收益已经达到60%至少赚6000美金的利润,本周看能不能在创辉煌,
黄金重演上周的行情,二次探底进行一波拉升,上周五的策略大家应该还记得先跌后涨,全部获利。目前的K线来看一小时已经破新高说明四小时和日线都已经成阳线,那我们就是要顺势去操作,低多开仓,就算现在的点位是93了也不会闲高,
2019.1.14黄金策略
多单;黄金1292.50买涨
止盈;1296
止损;1290
策略备用布局,低多1288做涨 止盈1294 止损1285
高空1298买空 止盈1295 止损1302
自从欧美箱体破位以后就开始高位震荡下调,上周四的时候有写到,波段震荡,高抛低吸。指标出现BUY就底多操作,破指标提示点位在做反手策略。上周追高止损,但是底多策略盈利。
2019.1.14欧美策略
多单;欧美1.14750
止盈1.15100
止损1.14400
策略备用布局,高空1.15800买跌 止盈1.15500 止损1.16100
低多1.14500买涨 止盈1.14900 止损1.14200
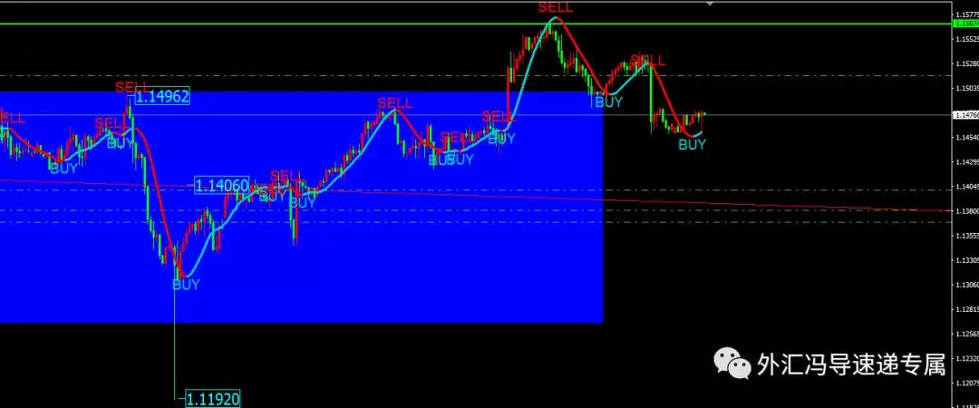
镑美大家可以看到了高位震荡,早上私下有朋友问我买什么我在1.28400已经提醒了一波空单已经赚钱走了,三点一线之撑是不是很有作用大家可以自己画一下,这是一小时图。早上的空单已经赚钱出局,下午欧美盘,开始变策略低多操作
2019.1.14镑美策略
多单;镑美1.28350-400买涨
止盈1.28700
止损1.28000
策略备用布局,高空1.28900买跌 止盈1.28500 止损1.29250
低多1.28000买涨 止盈1.28300 止损1.27850
没有异动的情况就以此策略为准。所有策略均为有效点位,
本文内容仅代表作者观点,不代表本站立场,如若转载,请注明出处:https://www.fx220.com/redian/6544.html
相关推荐
-
利空反应过度 期指透漏变盘信号?
近期的调整源于技术压力叠加利空冲击,再融资短期利空市场,但长期利多市场,宏观经济表面有压力,但实际上质量不断提升,市场并不具备进一步大幅下跌的基础,而随着政策面和消息面利好效应的集聚,A股期现货指数短线调整消化利空后有望继续向上突破。
-
新三板全面改革“路线图”出炉 亮眼数据夯实深改“底气”
近日,新三板市场发布的一组数据引起了笔者的关注:前三季度,新三板673家创新层挂牌公司三季度实现营业收入3046.95亿元,同比增长7.79%,净利润169.68亿元,同比增长5.27%;新三板日均成交3.29亿元,其中做市日均成交1.51亿元,同比增长42.19%;全市场净利润3000万元以上的挂牌公司仍有853家……
-
期货交易 | 选择期货合约的小技巧
期货合约的选择也是一门学问,今天如意君教给大家一些选择期货合约的小技巧,希望能帮助到大家~ 技巧一如何识别主力合约?选择和识别主力合约的重要性,对于做期货来讲至关重要。因为主力合约…
-
炒白银需要注重基本面消息分析
炒白银需要注重基本面消息分析:就普通投资者来讲,基本面分析有哪些特征和作用都不甚明了,他们大多数要么盲从、要么拒绝基本面的分析,基本面对于他们来讲自然就几乎毫无意义了。
-
外汇交易价差如何衡量(了解外汇交易中的点差)
所谓点差就是做市商也就是平台的买卖价差,反过来也是市场参与者的交易成本。外汇经纪商通常是将点差添加到交易的价格内,并作为他们提供交易的费用。 外汇交易价差如何衡量? …
-
炒伦敦金怎么养成正确的投资习惯
伦敦金是一种贵金属保证金交易方式,也是以黄金为交易对象市场中的重要产品组成部分,所有的伦敦金投资参与者都能够享受双向盈利模式和公开透明的交易环境。但是仅仅是伦敦金本身的投资优势对于完成最终的盈利目标来说是不够的,投资者还需要养成个人正确的投资习惯才能够起到真正的投资效果。
-
现货黄金跳水9美元 警惕金价或跌至1453美元!
周二(9月10日)亚市早盘,现货黄金跌破1490美元/盎司,日内跌9美元,跌幅0.63%,刷新8月13日来新低;现货白银日内跌幅扩大至近1%,报17.807美元/盎司。因风险偏好改…
-
急涨急跌行情是否参与?
交易员A: 今天我就从一个总是参与这种行情的交易员的观点,来告诉大家我愿意参与的原因。当然,当我说是一个交易员的观点的时候,至少已经默认是有风险意识,有止损观念的前提之下,因为如果…
-
成交量的分析方法对炒黄金有哪些作用
炒黄金避免不了交易,只是交易次数多少的问题,而这些交易在市场中会成为成交量,成交量积累到一定程度对我们炒黄金有很大的帮助。在市场中成交量是价格变动的内在动力,所以我们在分析分时图的分时线、均价线走势图时不能忽略了对成交量的分析,那么成交量的分析方法对炒黄金有哪些作用?
-
ecn trade_ecn trade外汇交易平台_ecn trade中文地址
ecn trade ECN Trade是澳大利亚著名的外汇交易商 , 是为个人和机构提供 外汇 、贵金属、能源等高端金融投资产品的全球性机构。ECN Trade在悉尼…
-
黄金T+D投资有哪些小技巧
黄金T+D投资作为黄金投资的一种,丰富了大家对投资产品的选择。其中对于黄金T+D投资来说最重要的就是交易技巧,只有学会了如何交易,我们才能减少风险,增加盈利的空间。那么,黄金T+D投资到底有哪些小技巧?
-
澳大利亚第二季度GDP符合预期 澳元短线上涨15点
外汇天眼APP讯 : 澳大利亚统计局在周三(9月4日)公布2019年第二季度GDP数据,年率季率数据纷纷符合预期。数据公布后,澳元兑美元AUD/USD短线上涨15点,暂报0.678…
